9. Monitorizarea tensiunii punctului median
O celulă defectă sau o baterie defectă poate distruge un set de baterii mare și scump.
Un curent de scurtcircuit sau unul intern intens de dispersie într-o celulă, de exemplu, va duce la încărcarea insuficientă respectivei celule și la supraîncărcarea celorlalte celule. În mod similar, o baterie defectă într-un banc de 24 V sau de 48 V care conține mai multe baterii de 12 V conectate în serie/paralel poate distruge întregul banc.
Mai mult, la conectarea în serie a noilor baterii sau celule, toate acestea ar trebui să aibă același nivel inițial de încărcare. Micile diferențe vor fi remediate în timpul absorbției sau al egalizării încărcării, însă diferențele mari vor duce la deteriorare în timpul încărcării din cauza formării excesive de gaze în celulele sau în bateriile cu cea mai mare stare inițială de încărcare.
O alarmă cu declanșare în timp util poate fi generată prin monitorizarea punctului median al bancului de baterii (de ex., prin împărțirea tensiunii șirului în două și compararea tensiunilor celor două jumătăți de șiruri).
Devierea punctului median va fi mică atunci când bancul de baterii este în repaus și va crește:
la sfârșitul fazei de încărcare brută în timpul încărcării (tensiunea celulelor bine încărcate va crește rapid, în timp ce celulele întârziate necesită încă mai multă încărcare);
când descărcați bancul de baterii, până când tensiunea celor mai slabe celule începe să scadă rapid;
la rate mari de încărcare și de descărcare.
9.1. Schema de conexiuni a bateriei și a punctului median
9.1.1. Conectarea și monitorizarea punctului median într-un banc de baterii de 24 V

GOOD (bine): Punctele mediane nu sunt conectate și nu există bare de interconectare sau monitorizare a punctului median.

WRONG (greșit): Punctele mediane sunt conectate și nu există bare de interconectare sau monitorizare a punctului median.
Din cauza căderii de tensiune pe cablurile pozitive și negative, tensiunea de mijloc nu este identică.
La un banc de baterii nemonitorizat, punctele mediane nu trebuie să fie interconectate, deoarece o baterie defectă poate trece neobservată și riscă să deterioreze toate celelalte baterii.

GOOD (bine): Punctele mediane nu sunt conectate; sunt utilizate bare de interconectare, dar fără monitorizarea punctului median.

GOOD (bine): Punctele mediane sunt conectate, cu bare de interconectare și monitorizare a punctului median.
Utilizați întotdeauna bare de interconectare când aplicați monitorizarea tensiunii punctului median. Cablurile către barele de interconectare trebuie să aibă toate aceeași lungime.
Punctele mediane pot fi conectate numai dacă se iau măsuri corective în cazul unei alarme.
9.1.2. Conectarea și monitorizarea punctului median într-un banc de baterii de 48 V

GOOD (bine): Punctele mediane nu sunt conectate și nu există bare de interconectare sau monitorizare a punctului median.

WRONG (greșit): Punctele mediane sunt conectate și nu există bare de interconectare sau monitorizare a punctului median.
Din cauza căderii de tensiune pe cablurile pozitive și negative, tensiunea de mijloc nu este identică.

GOOD (bine): Punctele mediane nu sunt conectate; sunt utilizate bare de interconectare, dar fără monitorizarea punctului median.

GOOD (bine): Punctele mediane sunt conectate, sunt utilizate bare de interconectare, cu monitorizarea punctului median.
La un banc de baterii nemonitorizat, punctele mediane nu trebuie să fie interconectate, o baterie defectă poate trece neobservată și riscă să deterioreze toate celelalte baterii.
Utilizați întotdeauna bare de interconectare când aplicați monitorizarea tensiunii punctului median. Cablurile către barele de interconectare trebuie să aibă toate aceeași lungime.
Punctele mediane pot fi conectate numai dacă se iau măsuri corective în cazul unei alarme.
9.2. Calcularea devierii punctului median
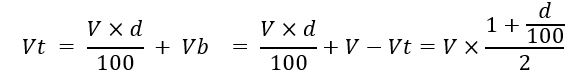
Sistemul de monitorizare a bateriei măsoară punctul mediu și apoi calculează devierea într-un procent de la ceea ce ar trebui să fie punctul mediu.
Când: d este devierea exprimată în % Vt este tensiunea șirului superior Vb este tensiunea șirului inferior V este tensiunea bateriei (V = Vt + Vb)  | 
  | |||
9.3. Setarea nivelului de alarmă
În cazul bateriilor VRLA (gel sau AGM), formarea de gaze datorată supraîncărcării va usca electrolitul, crescând rezistența internă și, în cele din urmă, cauzând daune ireversibile. Bateriile VRLA cu plăcuțe plate încep să piardă apă atunci când tensiunea de încărcare se apropie de 15 V (la bateriile de 12 V). Incluzând o marjă de siguranță, devierea punctului median ar trebui, prin urmare, să rămână sub 2 % în timpul încărcării. Când se încarcă, de exemplu, un banc de baterii de 24 V la o tensiune de absorbție de 28,8 V, o deviere de 2 % a punctului median ar avea ca rezultat:
În mod evident, o deviere de peste 2 % a punctului median va duce la supraîncărcarea bateriei superioare și la încărcarea insuficientă a bateriei inferioare. Acestea sunt două motive bune pentru a seta nivelul de alarmă al punctului median la cel mult d = 2 %.
Același procent poate fi aplicat unui banc de baterii de 12 V cu un punct median de 6 V.
În cazul unui banc de baterii de 48 V format din baterii de 12 V conectate în serie, influența % a unei baterii asupra punctului median este redusă la jumătate. Prin urmare, nivelul de alarmă al punctului median poate fi setat la o valoare inferioară.
9.4. Întârzierea alarmelor
Pentru a preveni declanșarea alarmelor datorată devierilor pe termen scurt care nu deteriorează bateriile există o întârziere a alarmei. Devierea trebuie să depășească valoarea setată timp de 5 minute înainte de declanșarea alarmei. O deviere care depășește valoarea setată cu un factor de doi sau mai mult va declanșa alarma după 10 secunde.
9.5. Procedura în cazul declanșării unei alarme în timpul încărcării
În cazul unui nou banc de baterii, alarma se datorează de obicei diferențelor stării inițiale de încărcare a fiecărei baterii. Dacă devierea crește la peste 3 %, trebuie să opriți încărcarea bancului de baterii și să încărcați separat bateriile sau celulele individual. O altă modalitate este de a reduce substanțial curentul de încărcare al bancului de baterii, ceea ce le va permite bateriilor să se egalizeze în timp.
Dacă problema persistă după mai multe cicluri de încărcare-descărcare, procedați după cum urmează:
În cazul unei conexiuni în serie/paralel, deconectați cablajul punctului intermediar, conexiunea paralelă și măsurați tensiunile individuale ale punctului intermediar în timpul încărcării prin absorbție pentru a izola bateriile sau celulele care necesită o încărcare suplimentară.
încărcați și apoi testați toate bateriile sau celulele în mod individual.
În cazul unui banc vechi de baterii care a funcționat bine în trecut, problema se poate datora încărcării insuficiente sistematice. În această situație, sunt necesare încărcări mai frecvente sau o încărcare de stabilizare. Vă rugăm să rețineți că numai bateriile cu electroliți lichizi și plăcuțe plate cu ciclu amplu sau cele OPzS pot fi stabilizate. Încărcările regulate și mai eficiente vor rezolva problema.
Atunci când una sau mai multe celule sunt defecte:
În cazul unei conexiuni în serie/paralel, deconectați cablajul punctului intermediar, conexiunea paralelă și măsurați tensiunile individuale ale punctului intermediar în timpul încărcării prin absorbție pentru a izola bateriile sau celulele care necesită o încărcare suplimentară.
încărcați și apoi testați toate bateriile sau celulele în mod individual.
9.6. Procedura în cazul declanșării unei alarme în timpul descărcării
Bateriile individuale sau celulele unui banc de baterii nu sunt identice și, atunci când descărcați complet bancul de baterii, tensiunea unor celule va începe să scadă mai devreme decât a altora. Prin urmare, alarma punctului median se va declanșa aproape de fiecare dată la sfârșitul unei descărcări profunde.
Dacă alarma punctului median se declanșează mult mai devreme (și nu se declanșează în timpul încărcării), este posibil ca unele baterii sau celule să își fi pierdut din capacitate sau să fi dezvoltat o rezistență internă mai mare decât altele. Este posibil ca bancul de baterii să fi ajuns la sfârșitul duratei de viață sau ca una sau mai multe celule sau baterii să fi suferit o deteriorare:
În cazul unei conexiuni în serie/paralel, deconectați cablajul de conectare paralelă a punctului median și măsurați tensiunile individuale ale punctului median în timpul descărcării pentru a izola bateriile sau celulele defecte.
încărcați și apoi testați toate bateriile sau celulele în mod individual.
9.7. Stabilizatorul de baterii
Se poate lua în considerare adăugarea unui Stabilizator de baterie la sistem. Un stabilizator de baterie va egaliza starea de încărcare a două baterii de 12 V conectate în serie sau a mai multor serii paralele de baterii conectate în serie.
Când tensiunea de încărcare a unui sistem de baterii de 24 V crește peste 27,3 V, stabilizatorul de baterii va porni și va compara tensiunea celor două șiruri de baterii conectate. Stabilizatorul de baterii va consuma un curent de până la 0,7 A de la baterie (sau de la bateriile conectate în paralel), la cea mai ridicată tensiune. Diferența rezultată a curentului de încărcare va asigura că toate bateriile ating aceeași stare de încărcare. Dacă este necesar, pot fi legate în paralel mai multe stabilizatoare de baterii.
Un banc de baterii de 48 V poate fi stabilizat cu ajutorul a trei stabilizatoare de baterii, câte unul pentru fiecare baterie.
Pentru mai multe informații, consultați pagina de produs a Battery Balancer (stabilizatorului de baterii): https://www.victronenergy.ro/batteries/battery-balancer.
