9. Bewaken van de middelpuntspanning
Een defecte cel of een defecte accu kan een grote, dure accubank vernietigen.
Een kortsluiting of hoge interne lekstroom in een cel kan bijvoorbeeld leiden tot te weinig laden van die cel en te veel laden van de andere cellen. Zo kan een defecte accu in een 24 V- of 48 V-bank van meerdere serie/parallel aangesloten 12 V-accu's de hele bank vernietigen.
Bovendien, wanneer nieuwe cellen of accu's in serie zijn aangesloten, moeten ze allemaal dezelfde aanvangs laadstatus hebben. Kleine verschillen worden tijdens absorptie- of egaliserend opladen vereffend, maar grote verschillen zullen leiden tot schade tijdens het opladen als gevolg van overmatige gasvorming van de cellen of accu's met de hoogste aanvangs laadstatus.
Een tijdig alarm kan worden gegenereerd door de middelpuntspanning van de accubank te bewaken (d.w.z. door de spanning van de reeks in tweeën te splitsen en de spanning van de twee reeks helften te vergelijken).
De middelpunt afwijking zal klein zijn wanneer de accubank niet wordt belast, en zal toenemen:
Aan het einde van de bulkfase tijdens het opladen (de spanning van goed geladen cellen zal snel toenemen terwijl achterblijvende cellen verder opgeladen moeten worden).
Bij het ontladen van de accubank, totdat de spanning van de zwakste cellen snel begint te dalen.
Bij hoge laad- en ontladingssnelheden.
9.1. Accubank en middelpuntbedradingsschema's
9.1.1. Verbinden en bewaken middelpunt in een 24 V accubank

GOOD: De middelpunten zijn niet verbonden en zonder rails of middelpuntbewaking.

WRONG: De middelpunten zijn verbonden en zonder rails of middelpuntbewaking.
Als gevolg van de spanningsdaling in de positieve en de negatieve kabels is de middelpuntsspanning niet identiek.
Bij een niet-bewaakte accubank mogen de middelpunten niet met elkaar verbonden worden; daar één defecte accubank onopgemerkt kan blijven en alle andere accu's kan beschadigen.

GOOD: De middelpunten zijn niet verbonden; rails worden gebruikt maar zonder middelpuntbewaking.

GOOD: De middelpunten zijn verbonden, met rails en middelpuntbewaking.
Gebruik altijd busbars bij het bewaken van middelpuntspanning. De kabels naar de busbars moeten allemaal van dezelfde lengte zijn.
De middelpunten kunnen alleen worden aangesloten als er corrigerende maatregelen kunnen worden genomen in geval van een alarm.
9.1.2. Verbinden en bewaken middelpunt in een 48 V accubank

GOOD: De middelpunten zijn niet verbonden en zonder rails of middelpuntbewaking.

WRONG: De middelpunten zijn verbonden en zonder rails of middelpuntbewaking.
Als gevolg van de spanningsdaling in de positieve en de negatieve kabels is de middelpuntsspanning niet identiek.

GOOD: De middelpunten zijn niet verbonden; rails worden gebruikt en zonder middelpuntbewaking.

GOOD: De middelpunten zijn verbonden, rails worden gebruikt en met middelpuntbewaking.
Bij een niet-bewaakte accubank mogen de middelpunten niet met elkaar verbonden worden. Een defecte accubank kan onopgemerkt blijven en kan alle andere accu's beschadigen.
Gebruik altijd busbars bij het bewaken van middelpuntspanning. De kabels naar de busbars moeten allemaal van dezelfde lengte zijn.
Middelpunten kunnen alleen worden aangesloten als er corrigerende maatregelen kunnen worden genomen in geval van een alarm.
9.2. Berekening van de afwijking van het middelpunt
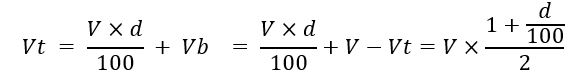
De accumonitor meet het middelpunt en berekent vervolgens de afwijking in een percentage van wat het middelpunt zou moeten zijn.
Waar: d de afwijking in % is Vt is de bovenste reeks spanning Vb is de onderste reeks spanning V is de spanning van de accu (V = Vt + Vb) |
| |||
9.3. Het alarmniveau instellen
In het geval van VRLA (gel of AGM)-accu's, zal gasvorming als gevolg van overladen de elektrolyt uitdrogen, waardoor de interne weerstand toeneemt en uiteindelijk leidt tot onomkeerbare schade. Vlakke plaat VRLA accu's beginnen water te verliezen wanneer de laadspanning de 15 V nadert (12 V-accu). Met inbegrip van een veiligheidsmarge moet de gemiddelde afwijking daarom tijdens het opladen onder de 2 % blijven. Wanneer bijvoorbeeld een 24 V-accubank wordt opgeladen bij een absorptiespanning van 28,8 V, zou een gemiddelde afwijking van 2 % resulteren in:
Uiteraard zal een middelpunt afwijking van meer dan 2 % resulteren in het overladen van de bovenste accu en het onderladen van de onderste accu. Dit zijn twee goede redenen om het alarmniveau in te stellen op niet meer dan d = 2 %.
Hetzelfde percentage kan worden toegepast op een 12 V-accubank met een 6 V-middelpunt.
In het geval van een 48 V-accubank bestaande uit 12 V serie-aangesloten accu's, wordt de % invloed van één accu op het middelpunt met de helft verminderd. Het middelpunt alarmniveau kan daarom op een lager niveau worden ingesteld.
9.4. Alarm vertraging
Om te voorkomen dat er alarmmeldingen afgaan als gevolg van korte termijn afwijkingen die een accu niet beschadigen, moet de afwijking de ingestelde waarde gedurende 5 minuten overschrijdenvoordat het alarm wordt geactiveerd. Een afwijking die de ingestelde waarde overschrijdt met een factor twee of meer, activeert het alarm na 10 seconden.
9.5. Wat te doen in geval van een alarm tijdens het opladen
In het geval van een nieuwe accubank komt het alarm meestal door de verschillen in de aanvangs laadstatus van de individuele accu. Als de afwijking toeneemt tot meer dan 3 % moet er gestopt worden met het opladen van de accubank en de afzonderlijke accu's of cellen apart opladen. Een andere manier is om de laadstroom naar de accubank aanzienlijk te verminderen. Hierdoor kunnen de accu's na verloop van tijd egaliseren.
Als het probleem zich blijft voordoen na meerdere laad-ontlaadcycli kan het volgende gedaan worden:
Ontkoppel in het geval van serie/parallelle aansluiting het middelpunt, de parallelle bedrading en meet de individuele middelpuntspanningen tijdens de absorptielading om de accu's of cellen te identificeren die extra moeten worden opgeladen.
Laad en test vervolgens alle accu's of cellen afzonderlijk.
In geval van een oudere accubank die voorheen wel correct heeft gefunctioneerd kan het probleem komen door systematisch te weinig laden. In dit geval is frequenter opladen of een egalisatie lading nodig. Houd er rekening mee dat alleen natte platte plaat of OPzS-accu's kunnen worden geëgaliseerd. Door beter en regelmatiger op te laden wordt het probleem opgelost.
In het geval dat er een of meer defecte cellen zijn:
Ontkoppel in het geval van serie/parallelle aansluiting het middelpunt, de parallelle bedrading en meet de individuele middelpuntspanningen tijdens de absorptielading om de accu's of cellen te identificeren die extra moeten worden opgeladen.
Laad en test vervolgens alle accu's of cellen afzonderlijk.
9.6. Wat te doen in geval van een alarm tijdens het ontladen
De afzonderlijke accu's of cellen van een accubank zijn niet identiek en bij het volledig ontladen van een accubank begint de spanning van sommige cellen eerder te dalen dan andere. Het middelpuntalarm zal dus bijna altijd afdgaan aan het einde van een diepe ontlading.
Als het middelpunt alarm veel eerder gaat (en niet tijdens het opladen uitgaat), kunnen sommige accu's of cellen capaciteit hebben verloren of een hogere interne weerstand hebben ontwikkeld dan andere. De accubank kan het einde van de levensduur hebben bereikt, of er is een fout opgetreden bij een of meer cellen of accu's:
Ontkoppel in het geval van serie/parallelle aansluiting het middelpunt, de parallelle bedrading en meet de individuele middelpuntspanningen tijdens de ontlading om defecte accu's of cellen te identificeren.
Laad en test vervolgens alle accu's of cellen afzonderlijk.
9.7. Battery Balancer
Overweeg een Battery Balancer aan het systeem toe te voegen. De Battery Balancer zal de laadstatus van twee in serie aangesloten 12 V-accu's, of van meerdere parallelle reeksen van in serie aangesloten accu's gelijk maken.
Wanneer de laadspanning van een 24 V-accusysteem stijgt tot meer dan 27,3 V, gaat de Battery Balancer aan en vergelijkt de spanning over de twee serie aangesloten accu's. De Battery Balancer trekt een stroom van maximaal 0,7 A uit de accu (of parallel aangesloten accu's) met de hoogste spanning. Het resulterende laadstroom verschil zorgt ervoor dat alle accu's gelijkgetrokken worden naar dezelfde laadstatus. Indien nodig kunnen meerdere Battery Balancers parallel worden aangesloten.
Een 48 V-accubank kan worden gebalanceerd met drie Battery Balancers, één tussen elke accu.
Raadpleeg voor meer informatie de productpagina van de Battery Balancer: https://www.victronenergy.nl/batteries/battery-balancer.
