9. Überwachung der Mittelpunktspannung
Eine beschädigte Zelle oder eine beschädigte Batterie kann eine ganze große, teure Batteriebank zerstören.
Ein Kurzschluss oder hoher interner Leckstrom in einer Zelle beispielsweise führt zu einer Unterladung dieser Zelle und einer Überladung der anderen Zellen. Eine beschädigte Batterie in einer 24 V oder 48 V Bank mit mehreren in Reihe/parallel geschalteten 12 V Batterien kann ebenso die gesamte Bank beschädigen.
Außerdem sollten neue Zellen bzw. Batterien, wenn sie in Serie geschaltet werden, alle den gleichen anfänglichen Ladezustand haben. Kleine Unterschiede werden während der Absorption oder Ausgleichsladung ausgeglichen, aber große Unterschiede führen zu Schäden während der Ladung durch übermäßige Gasung der Zellen oder Batterien mit dem höchsten Anfangsladezustand.
Ein rechtzeitiger Alarm kann durch Überwachung des Mittelpunkts der Batteriebank erzeugt werden (d.h. durch Halbierung der Stringspannung und Vergleich der beiden Stringspannungshälften).
Die Mittelpunktsabweichung wird bei ruhender Batteriebank gering sein und sich vergrößern:
Am Ende der Bulk-Phase während des Ladevorgangs (die Spannung gut geladener Zellen wird schnell ansteigen, während nachlaufende Zellen noch mehr Ladung benötigen).
Beim Entladen der Batteriebank, bis die Spannung der schwächsten Zellen schnell zu sinken beginnt.
Bei hohen Lade- und Entladeraten.
9.1. Schaltpläne für Batteriebank und Mittelpunkt
9.1.1. Anschluss und Überwachung des Mittelpunktes in einer 24 V-Batteriebank

RICHTIG: Die Mittelpunkte sind nicht verbunden und ohne Sammelschienen oder Mittelpunktüberwachung.

FALSCH: Die Mittelpunkte sind verbunden und ohne Sammelschienen oder Mittelpunktüberwachung.
Aufgrund des Spannungsabfalls über das positive und das negative Kabel sind die Mittenspannungen nicht identisch.
In einer unüberwachten Batteriebank sollten die Mittelpunkte nicht miteinander verbunden sein, da eine schlechte Batteriebank unbemerkt bleiben und alle anderen Batterien beschädigen kann.

RICHTIG: Die Mittelpunkte sind nicht verbunden; es werden Sammelschienen verwendet, aber ohne Mittelpunktüberwachung.

RICHTIG: Die Mittelpunkte sind verbunden, mit Sammelschienen und Mittelpunktüberwachung.
Verwenden Sie immer Sammelschienen, wenn Sie eine Mittelpunkts-Spannungsüberwachung anwenden. Die Kabel zu den Sammelschienen müssen alle die gleiche Länge haben.
Die Mittelpunkte können nur verbunden werden, wenn im Falle eines Alarms korrigierende Maßnahmen ergriffen werden.
9.1.2. Anschluss und Überwachung des Mittelpunktes in einer 48 V-Batteriebank

RICHTIG: Die Mittelpunkte sind nicht verbunden und ohne Sammelschienen oder Mittelpunktüberwachung.

FALSCH: Die Mittelpunkte sind verbunden und ohne Sammelschienen oder Mittelpunktüberwachung.
Aufgrund des Spannungsabfalls über das positive und das negative Kabel sind die Mittenspannungen nicht identisch.

RICHTIG: Die Mittelpunkte sind nicht verbunden; es werden Sammelschienen und keine Mittelpunktüberwachung verwendet.

RICHTIG: Die Mittelpunkte sind verbunden, es werden Sammelschienen und eine Mittelpunktüberwachung verwendet.
In einer unüberwachten Batteriebank sollten die Mittelpunkte nicht miteinander verbunden sein, eine schlechte Batteriebank kann unbemerkt bleiben und alle anderen Batterien beschädigen.
Verwenden Sie immer Sammelschienen, wenn Sie eine Mittelpunkts-Spannungsüberwachung anwenden. Die Kabel zu den Sammelschienen müssen alle die gleiche Länge haben.
Mittelpunkte können nur verbunden werden, wenn im Falle eines Alarms korrigierende Maßnahmen ergriffen werden.
9.2. Berechnung der Mittelpunktsabweichung
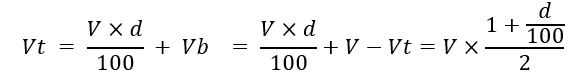
Der Batteriemonitor misst den Mittelpunkt und berechnet dann die Abweichung in einem Prozentsatz von dem, was der Mittelpunkt sein sollte.
Dabei gilt Folgendes: d ist die Abweichung in % Vt ist die oberste Stringspannung Vt ist die unterste Stringspannung V ist die Spannung der Batterie (V = Vt + Vb)  | 
  | |||
9.3. Einstellen der Alarmstufe
Bei VRLA (Gel oder AGM) Batterien trocknet im Falle einer Gasentwicklung aufgrund einer Überladung der Elektrolyt aus, der Innenwiderstand wird erhöht und letztendlich kommt es zu einer unwiderruflichen Beschädigung der Batterie. Gitterplatten VRLA-Batterien verlieren an Wasser, wenn die Ladespannung sich dem Wert 15 V (12 V Batterie) nähert. Einschließlich einer Sicherheitsspanne sollte die Mittelpunktabweichung während des Ladevorgangs unter 2 % bleiben. Beim Laden einer 24 V Batteriebank mit 28,8 V Konstantspannung würde sich zum Beispiel folgender Mittelpunktsabweichungswert von 2 % ergeben:
Offensichtlich führt eine Mittelpunktsabweichung von mehr als 2 % zu einer Überladung der oberen Batterie und einer Unterladung der unteren Batterie. Dies sind zwei gute Gründe, den Mittelwert-Alarmpegel auf nicht mehr als d = 2 % zu setzen.
Derselbe Prozentsatz kann bei einer 12 V Batteriebank mit einem 6 V Mittelpunkt eingestellt werden.
Im Falle einer 48 V Batteriebank, die aus 12 V in Reihe geschalteten Batterien besteht, verringert sich der prozentuale Einfluss einer Batterie auf den Mittelpunkt um die Hälfte. Daher kann hier der Alarmschwellwert für den Mittelpunkt auf einen niedrigeren Wert eingestellt werden.
9.4. Alarmverzögerung
Es gibt eine Alarmverzögerung, um das Auslösen von Alarmen aufgrund kurzfristiger Abweichungen zu verhindern, welche eine Batterie nicht beschädigen. Der Alarm wird ausgelöst, wenn die Abweichung den eingestellten Alarmwert für mehr als 5 Minuten überschreitet. Eine Abweichung, die den eingestellten Alarmwert um das Zweifache oder mehr überschreitet, löst den Alarm nach 10 Sekunden aus.
9.5. Was ist bei einem Alarm während des Ladevorgangs zu unternehmen?
Im Falle einer neuen Batteriebank ist der Alarm vermutlich auf Unterschiede des anfänglichen Ladezustands der einzelnen Batterien zurückzuführen. Wenn die Abweichung auf mehr als 3 % steigt, sollten Sie das Laden der Batteriebank beenden und die einzelnen Batterien oder Zellen separat laden. Eine weitere Möglichkeit besteht darin, den Ladestrom für die Batteriebank erheblich zu reduzieren, wodurch sich die Batterien im Laufe der Zeit ausgleichen können.
Wenn das Problem nach mehreren Lade-/Entladezyklen weiter besteht, gehen Sie wie folgt vor:
Im Falle einer Reihen-/Parallelschaltung trennen Sie die Mittelpunkts- und Parallelschaltungsverdrahtung und messen Sie die einzelnen Mittelpunktsspannungen während der Absorptionsladung, um Batterien oder Zellen, die eine zusätzliche Ladung benötigen, zu isolieren.
Laden Sie die Batterien bzw. Zellen auf und testen sie dann alle getrennt voneinander.
Bei einer älteren Batteriebank, die in der Vergangenheit störungsfrei betrieben wurde, kann das Problem auf eine systematische Unterladung zurückzuführen sein. In diesem Fall ist ein häufigeres Laden oder eine Ausgleichsladung erforderlich. Bitte beachten Sie, dass nur geflutete Deep-Cycle-Flachplatten- oder OPzS-Batterien ausgeglichen werden können. Ein besseres und regelmäßigeres Laden wird das Problem lösen.
Falls eine oder mehrere fehlerhafte Zellen vorhanden sind:
Im Falle einer Reihen-/Parallelschaltung trennen Sie die Mittelpunkts- und Parallelschaltungsverdrahtung und messen Sie die einzelnen Mittelpunktsspannungen während der Absorptionsladung, um Batterien oder Zellen, die eine zusätzliche Ladung benötigen, zu isolieren.
Laden Sie die Batterien bzw. Zellen auf und testen sie dann alle getrennt voneinander.
9.6. Was bei einem Alarm während des Entladens zu tun ist
Die einzelnen Batterien oder Zellen einer Batteriebank sind nicht identisch, und wenn eine Batteriebank vollständig entladen wird, beginnt die Spannung einiger Zellen früher abzufallen als andere. Der Mittelpunktsspannungsalarm wird daher fast immer am Ende einer Tiefenentladung ausgelöst.
Wird der Mittelpunktsspannungsalarm viel früher ausgelöst (und nicht während des Ladevorgangs) kann es sein, dass einige Batterien bzw. Zellen an Kapazität verloren haben bzw. einen höheren Innenwiderstand entwickelt haben, als andere. Die Batteriebank kann das Ende der Lebensdauer erreicht haben, oder eine oder mehrere Zellen oder Batterien haben einen Fehler entwickelt:
Bei in Reihe / parallel geschalteten Anschlüssen, entfernen Sie die Parallelanschluss-Verkabelung der Mittelpunkte und messen Sie die einzelnen Mittelpunktspannungen während des Entladevorgangs, um fehlerhafte Batterien bzw. Zellen zu isolieren.
Laden Sie die Batterien bzw. Zellen auf und testen sie dann alle getrennt voneinander.
9.7. Der Batterieausgleicher (Battery Balancer)
Es kann in Erwägung gezogen werden, dem System einen Battery Balancer hinzuzufügen. Ein Battery Balancer gleicht den Ladezustand von zwei in Reihe geschalteten 12 V-Batterien oder von mehreren parallelen Strings von in Reihe geschalteten Batterien aus.
Wenn die Ladespannung eines 24 V-Batteriesystems auf über 27,3 V ansteigt, schaltet sich der Batterieausgleicher ein und vergleicht die Spannung bei den zwei in Serie geschalteten Batterien. Der Battery Balancer entnimmt der Batterie (oder den parallel geschalteten Batterien) mit der höchsten Spannung einen Strom von bis zu 0,7 A. Der daraus resultierende Unterschied beim Ladestrom sorgt dann dafür, dass sich alle Batterien an denselben Ladezustand angleichen. Falls notwendig können mehrere Balancer parallel geschaltet werden.
Eine 48 V-Batterie-Bank kann mit drei Batterieausgleichern ausgeglichen werden, einer zwischen jeder Batterie.
Weitere Informationen finden Sie im Datenblatt zum Battery Balancer auf der Produktseite des Battery Balancers: https://www.victronenergy.de/batteries/battery-balancer.
