9. Spänningsövervakning mittzon
En dålig cell eller ett dåligt batteri kan förstöra en stor, dyrbar batteribank.
En kortslutning eller hög invändig läckageström i en cell kan exempelvis resultera i underladdning av den cellen och överladdning i de andra cellerna. På samma sätt kan ett dåligt batteri i en 24 volts eller 48 volts batteribank med flera serie/parallellkopplade 12 volts batterier förstöra hela banken.
Vidare, när nya celler eller batterier är anslutna i serie bör alla ha samma laddningsstatus från början. Små skillnader kommer att jämnas ut under absorptions- eller utjämningsladdning men stora differenser på grund av kraftig gasning av cellerna eller batterierna med den högsta ursprungliga laddningsstatusen kommer att skada batteriet.
Ett snabbt larm kan genereras genom övervakning av batteribankens mittzon (t.ex. genom att halvera spänningssträngen och jämföra de två spänningshalvorna).
Observera att mittzonsavvikelsen kommer att vara liten när batteribanken vilar och kommer att öka:
I slutet av bulkfasen under laddning (spänningen i väl laddade celler kommer att öka snabbt medan mindre laddade celler fortfarande kommer att behöver mer laddning)
Vid urladdning av batteribanken tills spänningen i den svagaste cellen börjar minska snabbt.
Vid mycket höggradig laddning/urladdning.
9.1. Batteribank och mittzonskopplingsshema
9.1.1. Koppling och övervakning av mittzon i en 24 V-batteribank

BRA: Mittzonerna är inte anslutna och utan samlingsskenor eller mittzonsövervakning.

FEL: Mittzonerna är inte anslutna och utan samlingsskenor eller mittzonsövervakning.
På grund av spänningsbortfall över de positiva och negativa kablarna är mittzonspänningen inte identisk.
I en oövervakad batteribank bör inte mittzonerna länkas samman, en dålig batteribank kan missas och skada alla de andra batterierna.

BRA: Mittzonerna är inte anslutna och utan samlingsskenor eller mittzonsövervakning.

BRA: Mittzonerna är anslutna med samlingsskenor och mittzonsövervakning.
Använd alltid strömskenor vid övervakning av mittzonspänning. Kablarna till strömskenan måste alla vara av samma längd.
Mittzonerna kan endast länkas om korrigeringsåtgärder vidtas i händelse av larm.
9.1.2. Koppling och övervakning av mittzon i en 48 V-batteribank

BRA: Mittzonerna är inte anslutna och utan samlingsskenor eller mittzonsövervakning.

FEL: Mittzonerna är inte anslutna och utan samlingsskenor eller mittzonsövervakning.
På grund av spänningsbortfall över de positiva och negativa kablarna är mittzonspänningen inte identisk.

BRA: Mittzonerna är inte anslutna och utan samlingsskenor eller mittzonsövervakning.

BRA: Mittzonerna är anslutna och med samlingsskenor och mittzonsövervakning.
I en oövervakad batteribank bör inte mittzonerna länkas samman, en dålig batteribank kan missas och skada alla de andra batterierna.
Använd alltid strömskenor vid övervakning av mittzonspänning. Kablarna till strömskenan måste alla vara av samma längd.
Mittzonerna kan endast länkas om korrigeringsåtgärder vidtas i händelse av larm.
9.2. Beräkning av mittzonsavvikelse
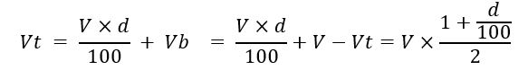
Batteriövervakaren mäter mittzonen och beräknar sedan avvikelsen i procent från vad mittzonen borde vara.
Där: d är avvikelsen i % Vt är toppsträngsspänningen Vt är bottensträngsspänningen V är batteriets spänning (V = Vt + Vb) |
| |||
9.3. Inställning av larmnivå
Vid VRLA (Gel eller AGM) batterier, kommer gasning på grund av överladdning att torka ut elektrolyten, öka det invändiga motståndet och slutligen resultera i oåterkallelig skada. Batterier med plattor, VRLA, börjar förlora vatten när laddningsspänningen närmar sig 15 V (12 V-batteri). Inklusive en säkerhetsmarginal bör mittzonsavvikelsen därför kvarstå under 2 % under laddning. Vid, exempelvis, laddning av en 24 V batteribank vid 28,2 V absorptionsspänningen skulle en mittzonsavvikelse på 2 % resultera i:
Uppenbarligen resulterar en mittzonsavvikelse på mer än 2 % i en överladdning av toppbatteriet och en underladdning av bottenbatteriet. Detta är två goda skäl för att ställa in nivån på mittzonslarmet på mer än d=2 %.
Samma procentsats kan tillämpas på en 12 V batteribank med en 6 V mittzon.
I fallet med en 48 V batteribank, bestående av 12 V seriekopplade batterier, är den procentuella inverkan från ett batteri på mittzonen reducerad till hälften. Larmnivån på mittzonen kan därför ställas in på en lägre nivå.
9.4. Larmfördröjning
En larmfördröjning är på plats för att förhindra uppkomsten av larm vid kortvariga avvikelser som inte skadar ett batteri. Larmet utlöses när avvikelsen överskrider det inställda larmvärdet i mer än 5 minuter. Om avvikelsen överstiger det inställda larmvärdet med en faktor två eller mer, utlöses larmet efter 10 sekunder.
9.5. Vad ska man göra om ett larm inträffar under laddning?
I händelse av en ny batteribank beror larmet oftast på differenser i det initiala laddningstillståndet för det individuella batteriet. Om avvikelsen ökar till över 3 % måste du sluta ladda batteribanken och ladda de enskilda batterierna eller cellerna separat. Ett annat sätt är att markant minska laddningsströmmen till batteribanken, detta låter batterierna jämna ut sig med tiden.
Gör följande om problemet kvarstår efter flera laddnings-urladdningscykler:
I händelse av serie/parallellkoppling, koppla ifrån parallellanslutningen i mittzonen och mät den enskilda mittzonsspänningen under absorptionsladdning för att isolera batterier eller celler som är i behov av ytterligare laddning.
Ladda och testa sedan alla batterier eller celler individuellt.
I händelse av en äldre batteribank som har fungerat bra tidigare kan problemet bero på systematiskt underladdning. I så fall krävs en mer frekvent laddning eller en utjämningsladdning. Tänk på att endast vätskefyllda djupcyklade plattcells- eller OPzS-batterier kan utjämnas. Bättre och regelbunden laddning kommer att lösa problemet.
Om det finns en eller flera trasiga celler:
I händelse av serie/parallellkoppling, koppla ifrån parallellanslutningen i mittzonen och mät den enskilda mittzonsspänningen under absorptionsladdning för att isolera batterier eller celler som är i behov av ytterligare laddning.
Ladda och testa sedan alla batterier eller celler individuellt.
9.6. Vad gör man om larm inträffar under urladdning?
Enskilda batterier eller celler i en batteribank är inte identiska och när det är total urladdning av en batteribank kommer spänningen i vissa celler att börja sjunka tidigare än andra. Mittzonslarmet kommer därför nästa alltid att utlösas i slutet av den djup urladdning.
Om mittzonslarmet utlöses mycket tidigare (och utlöses inte under laddning) kan vissa batterier eller celler ha förlorat i kapacitet eller kan de ha utvecklat ett högre invändigt motstånd än andra. Batteribanken kan ha nått slutet på sin livslängd eller så har en eller flera celler eller batterier utvecklat ett fel.
I händelse av serie/parallellkoppling, koppla ifrån parallellanslutningen i mittzonen och mät den enskilda mittzonsspänningen under urladdning för att isolera felaktiga batterier eller celler.
Ladda och testa sedan alla batterier eller celler individuellt.
9.7. Battery Balancer
Man kan överväga att lägga till en Battery Balancer (balanseringsenhet) till systemet. Balanseringsenheten utjämnar laddningsstatusen hos två seriekopplade 12 V-batterier eller hos flera parallella rader av seriekopplade batterier.
När laddningsspänningen för ett 24 V-batterisystem ökar till mer än 27,3 V kommer balanseringsenheten att startas och jämföra spänningen över de två seriekopplade batterierna. Balanseringsenheten kommer att dra en ström på upp till 0,7 A från batteriet (eller de parallellkopplade batterierna) med den högsta spänningen. Den resulterande laddningsströmmen kommer att säkerställa att batterierna kommer att nå samma laddningstillstånd. Vid behov kan flera balanseringsenheter parallellkopplas.
En 48 V-batteribank kan balanseras med tre balanseringsenheter, en mellan varje batteri.
För mer information, se produktsidan oförm Battery Balancer (batteribalanserare): https://www.victronenergy.se/batteries/battery-balancer.
