9. Contrôle de la tension médiane
Une mauvaise cellule ou une mauvaise batterie peut détruire un parc de batteries de grande taille et onéreux.
Par exemple, un court-circuit ou un courant de fuite interne élevé sur une cellule aura pour résultat une charge trop faible sur cette cellule, et une surcharge sur les autres cellules. De même, une mauvaise batterie au sein d'un banc de 24 ou 48 V, composé de plusieurs batteries de 12 V raccordées en série/parallèle, peut détruire l'ensemble du banc.
De plus, si de nouvelles cellules ou batteries sont connectées en série, elles devront avoir le même état-de-charge initial. Les petites différences seront aplanies pendant l'absorption ou la charge d'égalisation, mais les grandes différences provoqueront des dommages pendant la charge du fait d'un dégagement gazeux excessif des cellules ou des batteries ayant l'état de charge initial le plus élevé.
Une alarme ponctuelle peut être générée en contrôlant le point médian du banc de batteries (par ex. en divisant la tension de série en deux et en comparant les deux moitiés de tension de série).
L'écart du point médian sera léger si le banc de batteries est au repos, et il augmentera :
à la fin de la phase Bulk pendant la charge (la tension des cellules correctement chargées augmentera rapidement, tandis que les cellules déphasées devront encore être chargées).
Lors de la décharge du banc de batteries jusqu'à ce que la tension des cellules les plus faibles commence à baisser rapidement.
À des taux de charge et décharge élevés.
9.1. Schémas de câblage du point médian et du banc de batteries
9.1.1. Connexion et supervision du point médian dans un parc de batteries de 24 V

GOOD (bon) : Les points médians ne sont pas raccordés et sans barres omnibus ni surveillance des points médians.

WRONG (mauvais) : Les points médians sont raccordés et sans barres omnibus ni surveillance des points médians.
En raison de la chute de tension sur les câbles positif et négatif, la tension du point médian n'est pas identique.
Dans le cas d’un parc de batteries non supervisé, les points médians ne doivent pas être connectés entre eux : un mauvais parc de batteries peut passer inaperçu et endommager toutes les autres batteries.

GOOD bon) : Les points médians ne sont pas raccordés ; des barres omnibus sont utilisées mais sans surveillance des points médians.

GOOD (bon) : Les points médians sont raccordés, avec des barres omnibus et une surveillance des points médians.
Utilisez toujours des barres omnibus lors de la supervision de la tension du point médian. Les câbles des barres omnibus doivent toutes avoir la même longueur.
Les points médians ne peuvent être raccordés que si une action corrective est prise en cas d’alarme.
9.1.2. Connexion et supervision du point médian dans un parc de batteries de 48 V

GOOD (bon) : Les points médians ne sont pas raccordés et sans barres omnibus ni surveillance des points médians.

WRONG (mauvais) : Les points médians sont raccordés et sans barres omnibus ni surveillance des points médians.
En raison de la chute de tension sur les câbles positif et négatif, la tension du point médian n'est pas identique.

GOOD (bon) : Les points médians ne sont pas raccordés ; des barres omnibus sont utilisées mais sans surveillance des points médians.

GOOD (bon) : Les points médians sont raccordés, avec des barres omnibus et une surveillance des points médians.
Dans le cas d'un banc de batteries non supervisé, les points médians ne devraient pas être connectés entre eux : un mauvais banc de batteries peut passer inaperçu et endommager toutes les autres batteries.
Utilisez toujours des barres omnibus lors de la supervision de la tension du point médian. Les câbles des barres omnibus doivent toutes avoir la même longueur.
Les points médians ne peuvent être connectés que si une action corrective est prise en cas d'alarme.
9.2. Calcul de l'écart du point médian
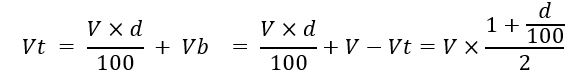
Le contrôleur de batterie mesure le point médian, puis calcule l'écart en pourcentage par rapport au point médian espéré.
Où : d est l'écart en % Vt est la tension de série la plus haute Vb est la tension de série la plus basse V est la tension de la batterie (V = Vt + Vb) |
| |||
9.3. Paramétrer le niveau d'alarme
Dans le cas des batteries VRLA (électrolyte gélifié ou AGM), le dégagement gazeux dû à une surcharge séchera l'électrolyte, augmentant ainsi la résistance interne, et provoquera des dommages irréparables. Les batteries VRLA à plaque plane commencent à perdre de l'eau quand la tension de charge se rapproche de 15 V (batterie de 12 V). Avec une marge de sécurité, l'écart du point médian doit par conséquent rester en dessous de 2 % pendant la charge. Si par exemple, on charge un banc de batteries de 24 V à une tension d'absorption de 28,8 V, un écart de point médian de 2 % donnerait :
Évidemment, un écart du point médian de plus de 2 % entraînera une surcharge de la batterie du haut et une sous-charge de la batterie du bas. Il y a deux bonnes raisons pour configurer un niveau d'alarme pour le point médian non supérieur à d = 2 %.
Le même pourcentage peut s'appliquer à un banc de batteries de 12 V avec un point médian de 6 V.
Pour les bancs de batteries de 48 V, composés de batteries de 12 V raccordées en série, le % d'influence d'une batterie sur le point médian est réduit de moitié. Le niveau d'alarme du point médian peut donc être configuré à un niveau plus bas.
9.4. Retard d’alarme
Un délai d’alarme est en place pour empêcher le déclenchement d’alarmes lors d’écarts à court terme qui n’endommageront pas une batterie. L’alarme est déclenchée lorsque l’écart dépasse la valeur d’alarme définie pendant plus de 5 minutes. Si l’écart dépasse la valeur d’alarme définie par un facteur de deux ou plus, l’alarme se déclenche au bout de 10 secondes.
9.5. Que faire en cas d'alarme pendant la charge ?
Dans le cas d'un nouveau parc de batteries, le déclenchement de l’alarme est probablement dû aux différences dans l'état de charge initial de chaque batterie individuelle. Si l'écart augmente de plus de 3 %, vous devriez arrêter la recharge du banc de batteries, et recharger les batteries individuelles ou les cellules séparément. Une autre façon de faire consiste à réduire fortement le courant de charge entrant dans le banc de batteries, ce qui permettra aux batteries de s'égaliser peu à peu.
Si le problème persiste après plusieurs cycles de charge-décharge, suivez la procédure ci-après :
Dans le cas d'une connexion en parallèle/série, déconnectez la connexion en parallèle du point médian et mesurez la tension médiane individuelle pendant la charge d'absorption pour isoler les batteries ou les cellules devant être davantage chargées.
Chargez et testez toutes les batteries ou cellules de manière individuelle.
Dans le cas d'un parc de batteries plus ancien, mais qui a bien fonctionné dans le passé, le problème peut être dû à une sous-charge systématique. Dans ce cas, des recharges plus fréquentes, ou une charge d'égalisation est nécessaire. N'oubliez pas que seules les batteries de type OPzS ou à plaque plane à décharge poussée peuvent être égalisées. Une meilleure charge régulière résoudra le problème.
S’il y a une ou plusieurs cellules défaillantes :
Dans le cas d'une connexion en parallèle/série, déconnectez la connexion en parallèle du point médian et mesurez la tension médiane individuelle pendant la charge d'absorption pour isoler les batteries ou les cellules devant être davantage chargées.
Chargez et testez toutes les batteries ou cellules de manière individuelle.
9.6. Que faire en cas d'alarme pendant la décharge ?
Les batteries ou cellules individuelles d'un banc de batteries ne sont pas identiques, et en déchargeant entièrement un banc de batteries, la tension de certaines cellules commencera à chuter avant celle des autres. L'alarme de point médian se déclenchera donc presque toujours après un cycle de décharge poussée.
Si l'alarme de point médian se déclenche bien avant (et ne se déclenche pas durant la charge), certaines batteries ou cellules ont peut-être perdu leur capacité, ou développé une résistance interne supérieure aux autres. Le banc de batteries a peut-être atteint la fin de sa durée de vie, ou bien, une ou plusieurs cellules ou certaines batteries présentent un défaut :
Dans le cas d'une connexion en parallèle - série, déconnectez la connexion en parallèle du point médian et mesurez la tension médiane individuelle pendant la décharge pour isoler les batteries ou les cellules défectueuses.
Chargez et testez toutes les batteries ou cellules de manière individuelle.
9.7. Équilibreur de batterie
Il est possible d'envisager l'ajout d’un équilibreur de batterie au système. Un équilibreur de batterie égalise l'état de charge de deux séries de batteries de 12 V, ou de plusieurs files de batteries connectées en parallèle, ces files étant elles-mêmes raccordées en série.
Si la tension de charge d'un système de batteries de 24 V s'élève à plus de 27,3 V, l'équilibreur de batterie s'allumera et comparera la tension sur les deux batteries connectées en série. Le Battery Balancer extraira un courant de jusqu'à 0,7 A sur la batterie (ou les batteries raccordées en parallèle) ayant la tension la plus élevée. La différence de courant de charge qui en résultera garantira que toutes les batteries convergeront vers le même état de charge. Le cas échéant, plusieurs équilibreurs peuvent être installés en parallèle.
Un banc de batteries de 48 V peut être équilibré avec trois équilibreurs de batterie : un entre chaque batterie
Pour davantage de renseignements, veuillez consulter la page produit du Battery Balancer : https://www.victronenergy.fr/batteries/battery-balancer
