9. Monitoraggio della tensione del punto medio
Una cella o una batteria danneggiata può distruggere un grande e costoso banco batterie.
Un cortocircuito o una grande perdita di corrente interna di una cella, ad esempio, provocherà una ricarica insufficiente di quella cella e una sovraccarica delle altre celle. Parimenti, una batteria difettosa in un banco batterie da 24 V o 48 V di varie batterie da 12 V collegate in serie/parallelo, può distruggere l’intero banco.
Quando le nuove celle o batterie sono collegate in serie, inoltre, devono avere lo stesso stato di carica iniziale. Piccole differenze saranno appianate durante l’assorbimento o la carica di equalizzazione, ma grandi differenze provocheranno danni durante la carica, in seguito a una eccessiva generazione di gas nelle celle o nelle batterie con il più alto stato di carica iniziale.
Si può far scattare un allarme tempestivo monitorando il punto medio del banco batterie (ad es., dividendo a metà la tensione di ogni stringa e comparando le due mezze tensioni della stringa).
La deviazione del punto medio sarà piccola quando il banco batterie sia a riposo e aumenterà:
Al termine della prima fase di carica durante la carica (la tensione delle celle ben cariche aumenterà velocemente mentre le celle più deboli necessiteranno ancora una maggior carica).
Quando si scarica il banco batterie, finché la tensione delle celle più deboli inizia a diminuire velocemente.
A elevate velocità di carica e scarica
9.1. Schemi di cablaggio del banco batterie e del punto medio
9.1.1. Connessione e monitoraggio del punto medio in un banco batterie da 24 V

GOOD: I punti medi non sono collegati e sono privi di sistemi di sbarre o di monitoraggio del punto medio.

WRONG: I punti medi sono collegati e non hanno sistemi di sbarre o monitoraggio del punto medio.
In seguito alla caduta di tensione sui cavi positivo e negativo, le tensioni del punto medio non sono identiche.
In un banco batterie non monitorato, i punti medi non devono essere collegati fra loro, giacché un banco batterie difettoso potrebbe non essere rilevato e si possono danneggiare tutte le altre batterie.

GOOD: I punti medi non sono collegati; si utilizzano sistemi di sbarre ma senza il monitoraggio del punto medio.

GOOD: I punti medi sono collegati, con sistemi di sbarre e monitoraggio del punto medio.
Utilizzare sempre un sistema di barre per eseguire il monitoraggio della tensione del punto medio. I cavi diretti al sistema a barre devono avere tutti la stessa lunghezza.
I punti medi possono essere collegati solo se si prendono misure correttive quando salta un allarme.
9.1.2. Connessione e monitoraggio del punto medio in un banco batterie da 48 V

GOOD: I punti medi non sono collegati e sono privi di sistemi di sbarre o di monitoraggio del punto medio.

WRONG: I punti medi sono collegati e non hanno sistemi di sbarre o monitoraggio del punto medio.
In seguito alla caduta di tensione sui cavi positivo e negativo, le tensioni del punto medio non sono identiche.

GOOD: I punti medi non sono collegati; si utilizzano sistemi di sbarre ma senza il monitoraggio del punto medio.

GOOD: I punti medi sono collegati, si utilizzano sistemi di sbarre e il monitoraggio del punto medio.
In un banco batterie non monitorato, i punti medi non devono essere collegati fra loro, giacché un banco batterie difettoso potrebbe non essere rilevato e danneggiare tutte le altre batterie.
Utilizzare sempre un sistema di barre per eseguire il monitoraggio della tensione del punto medio. I cavi diretti al sistema a barre devono avere tutti la stessa lunghezza.
I punti medi possono essere collegati solo se si prendono misure correttive quando salta un allarme.
9.2. Calcolo della deviazione del punto medio
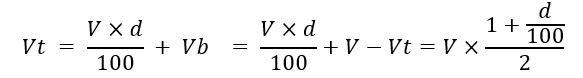
Il monitor della batteria misura il punto medio e poi calcola la deviazione, espressa in percentuale, da quello che dovrebbe essere il punto medio.
Dove: d è la deviazione in % Vt è la tensione della stringa superiore Vb è la tensione della stringa inferiore V è la tensione della batteria (V = Vt + Vb) |
| |||
9.3. Impostazione del livello di allarme
Per le batterie VRLA (gel o AGM), la produzione di gas dovuta a sovraccarica asciugherà l’elettrolito, aumentando la resistenza interna e, in definitiva, provocando danni irreversibile. Le batterie VRLA a piastre piane iniziano a perdere acqua quando la tensione di carica si avvicina ai 15 V (batteria da 12 V). Tenendo conto di un margine di sicurezza, la deviazione del punto medio deve, pertanto, rimanere al di sotto del 2 % durante la carica. Quando, ad esempio, si carica un banco batterie da 24 V a una tensione di assorbimento di 28,8 V, una deviazione del punto medio del 2 % comporterà:
Ovviamente, una deviazione del punto medio di più del 2 % provocherà una sovraccarica della batteria superiore e una carica insufficiente della batteria inferiore. Queste sono due buone ragioni per impostare il livello di allarme del punto medio su non più di d = 2 %.
La stessa percentuale si può applicare a banchi batterie da 12 V con un punto medio da 6 V.
Per un banco batterie da 48 V formato da batterie da 12 V collegate in serie, la % di influenza su una batteria nel punto medio si riduce alla metà. Il livello di allarme del punto medio, quindi, si può impostare su un livello inferiore.
9.4. Ritardo dell'allarme
È necessario un ritardo dell’allarme per evitare che si verifichino allarmi durante deviazioni di breve durata che non danneggino la batteria. L'allarme scatta quando la deviazione supera il valore di allarme impostato per più di 5 minuti. Se la deviazione supera il valore di allarme impostato di un fattore pari o superiore a due, l'allarme scatta dopo 10 secondi.
9.5. Cosa fare in caso di allarme durante la carica
In un banco batterie nuovo l’allarme, generalmente, salta in seguito a differenze nello stato iniziale della carica di una singola batteria. Se la deviazione aumenta e supera il 3 %, bisogna arrestare la carica del banco batterie e caricare le singole batterie o celle separatamente. Un altro modo è quello di ridurre significativamente la corrente di carica del banco batterie, per consentire alle batterie di equalizzarsi nel tempo.
Se il problema persiste dopo vari cicli di carica-scarica, agire come segue:
In caso di collegamento in serie/parallelo, scollegare il punto medio, collegare in parallelo e misurare le singole tensioni del punto medio durante la carica di assorbimento per isolare le batterie o le celle che necessitano una carica aggiuntiva.
Caricare e poi testare tutte le batterie o celle singolarmente.
Per un banco batterie più attempato, che ha sempre funzionato bene nel passato, il problema potrebbe essere dovuto a una carica insufficiente sistematica. In questo caso, è necessaria una carica più frequente o una carica di equalizzazione. Tenere presente che solo le batterie piastra piana a carica profonda a liquido elettrolita o OPzS possono essere equalizzate. Una carica migliorata e regolare risolveranno il problema.
Se fossero presenti una o più celle difettose:
In caso di collegamento in serie/parallelo, scollegare il punto medio, collegare in parallelo e misurare le singole tensioni del punto medio durante la carica di assorbimento per isolare le batterie o le celle che necessitano una carica aggiuntiva.
Caricare e poi testare tutte le batterie o celle singolarmente.
9.6. Cosa fare in caso di allarme durante la scarica
Le singole batterie o celle di un banco batterie non sono identiche e, quando si scarica completamente un banco batterie, la tensione di alcune celle inizierà a cadere prima di quella di altre. L’allarme del punto medio, quindi, salterà quasi sempre al termine di una scarica profonda.
Se l’allarme del punto medio salta molto prima (e non scatta durante la carica), alcune batterie o celle potrebbero aver perso la loro capacità o potrebbero aver sviluppato una maggior resistenza interna, rispetto ad altre. Il banco batterie potrebbe aver raggiunto la fine della sua vita utile, oppure una o più celle o batterie hanno sviluppato un difetto:
In caso di collegamento in serie/parallelo, scollegare il cablaggio di collegamento in parallelo del punto medio e misurare le singole tensioni del punto medio durante la scarica per isolare le batterie o le celle difettose.
Caricare e poi testare tutte le batterie o celle singolarmente.
9.7. Il Battery Balancer
Si potrebbe considerare l’eventualità di aggiungere al sistema un Battery Balancer, il quale equalizza lo stato di carica di due batterie da 12 V collegate in serie o di diverse stringhe parallele di batterie collegate in serie.
Quando la tensione di carica di un sistema di batterie a 24 V supera i 27,3 V, il Battery Balancer viene attivato per confrontare la tensione delle due batterie collegate in serie. Il Battery Balancer assorbirà fino a 0,7 A di corrente dalla batteria (o dalla stringa di batterie in parallelo) con la tensione più elevata. Il risultante differenziale di corrente di carica assicura così che tutte le batterie convergano nel tempo verso uno stato di carica identico. Se necessario è possibile collegare in parallelo più di un Battery Banlancer.
Un banco di batterie da 48 V può essere bilanciato con tre Battery Balancer, uno fra ogni batteria.
Per ulteriori informazioni, vedere la pagina prodotto del Battery Balancer: https://www.victronenergy.it/batteries/battery-balancer.
