9. Monitorização da tensão do ponto médio
Uma célula ou uma bateria avariada podem destruir um banco de baterias de grande dimensão e dispendioso.
Por exemplo, um curto-circuito ou uma corrente de fuga interna elevada numa célula podem provocar uma subcarga nessa célula e uma sobrecarga nas restantes. De forma similar, uma bateria danificada num banco de 24 V ou 48 V de várias baterias de 12 V ligadas em série/paralelo pode destruir todo o banco.
Adicionalmente, quando as células ou as baterias novas forem ligadas em série, devem apresentar todas o mesmo estado de carga inicial. A carga de absorção ou de equalização consegue tolerar as pequenas diferenças, mas as grandes diferenças originam danos durante o carregamento devido à gaseificação excessiva das baterias, com um estado da carga inicial mais elevado.
É possível gerar um alarme oportuno monitorizando o ponto médio do banco de baterias (isto é, dividindo a tensão de cadeia a meio e comparando as duas metades da tensão de cadeia).
O desvio do ponto médio será pequeno quando o banco de baterias estiver em repouso e aumentará:
no final da fase inicial da carga (a tensão das células com carregamento correto aumenta rapidamente, enquanto as células com atraso precisam de mais carga);
durante a descarga do banco de baterias, até que a tensão das células mais fracas comece a diminuir rapidamente; e
com taxas de carga e descarga superiores.
9.1. Esquema de ligações do ponto médio e do banco de baterias
9.1.1. Ligar e monitorizar o ponto médio num banco de baterias de 24 V

GOOD (correto): Os pontos médios não estão conectados e sem barramentos ou monitorização do ponto médio.

WRONG (incorreto): Os pontos médios estão conectados e sem barramentos ou monitorização do ponto médio.
Devido à queda de tensão nos cabos positivo e negativo, a tensão do ponto médio não é idêntica.
Num banco de baterias não monitorizado, os pontos médios não devem ser interligados, pois uma bateria defeituosa pode não ser detetada e danificar as outras baterias.

GOOD (correto): Os pontos médios não estão conectados; os barramentos são utilizados, mas sem monitorização do ponto médio.

GOOD (correto): Os pontos médios estão conectados, com barramentos e monitorização do ponto médio.
Utilize sempre barras de barramento ao aplicar a monitorização do ponto médio. Os cabos para as barras de barramento devem ter todos o mesmo comprimento.
Os pontos médios apenas podem ser conectados se for adotada uma ação corretiva em caso de alarme.
9.1.2. Ligar e monitorizar o ponto médio num banco de baterias de 48 V

GOOD (correto): Os pontos médios não estão conectados e sem barramentos ou monitorização do ponto médio.

WRONG (incorreto): Os pontos médios estão conectados e sem barramentos ou monitorização do ponto médio.
Devido à queda de tensão nos cabos positivo e negativo, a tensão do ponto médio não é idêntica.

GOOD (correto): Os pontos médios não estão conectados; os barramentos são utilizados e sem monitorização do ponto médio.

GOOD (correto): Os pontos médios estão conectados, os barramentos são utilizados e com monitorização do ponto médio.
Num banco de baterias não monitorizado, os pontos médios não devem ser interligados, uma banco defeituosa pode não ser detetada e danificar as outras baterias.
Utilize sempre barras de barramento ao aplicar a monitorização do ponto médio. Os cabos para as barras de barramento devem ter todos o mesmo comprimento.
Os pontos médios apenas podem ser conectados se for adotada uma ação corretiva em caso de alarme.
9.2. Cálculo do desvio do ponto médio
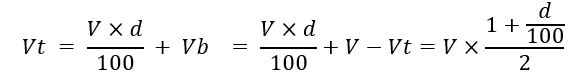
O monitor de bateria mede o ponto médio e depois calcula o desvio numa percentagem em relação ao seu valor expectável.
Em que: d é o desvio em % Vt é a tensão de cadeia superior Vb é a tensão de cadeia inferior V é a tensão da bateria (V = Vt + Vb) |
| |||
9.3. Definir o nível do alarme
Em caso de baterias VRLA (gel ou AGM), a gaseificação por sobrecarga seca o eletrólito, aumentando a resistência interna e acabando por provocar danos irreversíveis. As baterias VRLA de placa lisa começam a perder energia quando a tensão carregada se aproxima dos 15 V (bateria de 12 V). Incluindo uma margem de segurança, o desvio do ponto médio deve ser inferior a 2 % durante o carregamento. Quando, por exemplo, se carregar um banco de baterias de 24 V com uma tensão de absorção de 28,8 V, um desvio do ponto médio de 2 % resulta em:
Obviamente, um desvio do ponto médio superior a 2 % provoca uma sobrecarga da bateria superior e a subcarga da bateria inferior. Estas são duas boas razões para definir um nível do alarme do ponto médio não superior a d = 2 %.
Esta mesma percentagem pode ser aplicada a um banco de baterias de 12 V com um ponto médio de 6 V.
No caso de um banco de baterias de 48 V composto por séries de baterias de 12 V, a % do impacto de uma bateria no ponto médio é reduzida para metade. Portanto, o nível do alarme do ponto médio pode ser configurado num nível inferior.
9.4. Atraso do alarme
Existe um atraso de alarme para evitar a ocorrência de alarmes durante desvios de curto prazo que não danificam uma bateria. O alarme é ativado quando o desvio superar o valor de alarme definido durante mais de 5 min. Se o desvio superar o valor de alarme definido duas ou mais vezes, o alarme vai ser ativado após 10 s.
9.5. Atuação em caso de alarme durante o carregamento
Num banco de bateria novo, o alarme deve-se usualmente a diferenças no estado da carga inicial da bateria individual. Se o desvio aumentar mais de 3 %, deve interromper o carregamento do banco de baterias e carregar as baterias individuais ou as células separadamente. Outra forma de reduzir substancialmente a corrente de carga para o banco de baterias consiste em permitir a equalização das baterias no tempo.
Se o problema persistir após vários ciclos de carga e descarga, faça o seguinte:
Em caso de ligação em série / paralela, desligue a ligação paralela do ponto médio e meça as tensões do ponto médio individuais durante a carga de absorção para isolar as baterias ou células que precisam de uma carga adicional.
Carregue e depois teste todas as baterias ou células individualmente.
Em caso de um banco de baterias usado com um desempenho positivo no passado, o problema pode ser devido a uma subcarga sistemática. Neste caso, é necessário um carregamento ou uma carga de equalização mais frequente. Lembre-se de que as baterias OPzS e de placa plana de ciclo profundo inundadas podem ser equalizadas. Uma carga melhor e mais regular resolve o problema.
Caso haja uma ou mais células defeituosas:
Em caso de ligação em série / paralela, desligue a ligação paralela do ponto médio e meça as tensões do ponto médio individuais durante a carga de absorção para isolar as baterias ou células que precisam de uma carga adicional.
Carregue e depois teste todas as baterias ou células individualmente.
9.6. Atuação em caso de alarme durante a descarga
As células ou baterias individuais de um banco de baterias não são idênticas. Durante uma descarga completa de um banco de baterias, a tensão de algumas células começa a diminuir mais cedo do que a de outras. Por conseguinte, o alarme do ponto médio vai disparar quase sempre próximo do final de uma descarga profunda.
Se o alarme do ponto médio disparar muito mais cedo (e não disparar durante a carga), algumas baterias ou células podem ter perdido capacidade ou desenvolvido uma resistência interna superior à das restantes. O banco de baterias pode ter atingido o fim da vida útil ou uma ou mais células ou baterias ter desenvolvido uma avaria:
Em caso de ligação em série / paralela, desligue a ligação paralela do ponto médio e meça as tensões do ponto médio individuais durante a descarga para isolar as baterias ou células avariadas.
Carregue e depois teste todas as baterias ou células individualmente.
9.7. Regulador de bateria
Pode considerar adicionar um Regulador de Bateria ao sistema. Este aparelho vai equalizar o estado de carga de duas baterias de 12 V ligadas em série ou de várias cadeias paralelas igualmente ligadas em série.
Quando a tensão de carga de um sistema de baterias de 24 V superar 27,3 V, o regulador liga-se e compara a tensão nas duas baterias ligadas em série. O regulador vai retirar uma corrente até 0,7 A da bateria (ou das baterias ligadas em paralelo) com a tensão superior. O diferencial resultante da corrente de carga assegura a convergência de todas as baterias para o mesmo estado de carga. Se for necessário, é possível instalar diversos reguladores em paralelo.
Um banco de baterias com 48 V pode ser compensado com três reguladores, um entre cada bateria.
Para obter mais informação, consulte a página do produto do Battery Balancer (regulador de bateria): https://www.victronenergy.pt/batteries/battery-balancer.
