9. Control de la tensión del punto medio
Una celda o una batería en mal estado podría destruir una grande y cara bancada de baterías.
Un cortocircuito o una alta corriente de fuga interna en una celda, por ejemplo, tendrán como resultado la infracarga de esa celda y la sobrecarga de las demás. De manera similar, una batería en mal estado en una bancada de 24 o 48 V de varias baterías de 12 V conectadas en serie puede destruir toda la bancada.
Además, cuando se conectan celdas o baterías nuevas en serie, todas deberán tener el mismo estado de carga inicial. Las pequeñas diferencias se neutralizarán durante la carga de absorción o de ecualización, pero las grandes diferencias producirán daños durante la carga debido a un gaseado excesivo de las celdas o de las baterías que tengan el estado de carga inicial más elevado.
Se puede generar una alarma ad-hoc controlando el punto medio de la bancada de baterías (esto es, dividiendo la tensión de la cadena por dos y comparando las dos mitades).
La desviación del punto medio será pequeña cuando la bancada de baterías esté en reposo y aumentará:
Al final de la fase de carga inicial durante la carga (la tensión de las celdas bien cargadas aumentará rápidamente, mientras que las celdas retrasadas necesitarán más carga).
Cuando se descarga la bancada de baterías hasta que la tensión de las celdas más débiles empieza a disminuir rápidamente.
Con velocidades de carga y descarga elevadas.
9.1. Diagrama de conexión de la bancada de baterías y el punto medio
9.1.1. Conexión y seguimiento del punto medio en una bancada de baterías de 24 V

CORRECTO: Los puntos medios no están conectados y sin embarrados o monitorización del punto medio.

INCORRECTO: Los puntos medios están conectados y sin embarrados o monitorización del punto medio.
Debido a la caída de tensión en los cables positivo y negativo, las tensiones del punto medio no son idénticas.
En una bancada de baterías sin monitorización, los puntos medios no deberían estar interconectados, puesto que una bancada de baterías en malas condiciones podría pasar desapercibida y dañar a las demás baterías.

CORRECTO: Los puntos medios no están conectados; se usan embarrados pero sin monitorización del punto medio.

CORRECTO: Los puntos medios están conectados, con embarrados y monitorización del punto medio.
Use siempre embarrados cuando haga un seguimiento de la tensión del punto medio. Todos los cables que vayan al embarrado deben tener la misma longitud.
Los puntos medios solo pueden conectarse si se toman medidas correctivas en caso de alarma.
9.1.2. Conexión y seguimiento del punto medio en una bancada de baterías de 48 V

CORRECTO: Los puntos medios no están conectados y sin embarrados o monitorización del punto medio.

INCORRECTO: Los puntos medios están conectados y sin embarrados o monitorización del punto medio.
Debido a la caída de tensión en los cables positivo y negativo, las tensiones del punto medio no son idénticas.

CORRECTO: Los puntos medios no están conectados; se usan embarrados y sin monitorización del punto medio.

CORRECTO: Los puntos medios están conectados; se usan embarrados y con monitorización del punto medio.
En una bancada de baterías sin control, los puntos medios no deberían estar interconectados, puesto que una bancada de baterías en malas condiciones podría pasar desapercibida y dañar a las demás baterías.
Use siempre embarrados cuando haga un seguimiento de la tensión del punto medio. Todos los cables que vayan al embarrado deben tener la misma longitud.
Los puntos medios solo pueden conectarse si se toman medidas correctivas en caso de alarma.
9.2. Cálculo de la desviación del punto medio
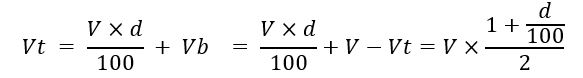
El monitor de baterías mide el punto medio y luego calcula la desviación como un porcentaje de lo que debería ser el punto medio.
Donde: d es la desviación en % Vt es la tensión de la cadena superior Vb es la tensión de la cadena inferior V es la tensión de la batería (V = Vt + Vb) |
| |||
9.3. Definición del nivel de alarma
En el caso de baterías VRLA (gel o AGM), el gaseado debido a la sobrecarga secará el electrolito, incrementando la resistencia interna y ocasionando finalmente daños irreversibles. Las baterías VRLA de placas planas empiezan a perder agua cuando la tensión de carga se acerca a los 15 V (baterías de 12 V). Incluyendo un margen de seguridad, la desviación del punto medio debería por lo tanto permanecer por debajo del 2 % durante la carga. Cuando, por ejemplo, se carga una bancada de baterías de 24 V con una tensión de absorción de 28,8 V, una desviación del punto medio del 2 % tendría como resultado:
Obviamente, una desviación del punto medio superior al 2 % tendría como resultado la sobrecarga de la batería superior y la infracarga de la batería inferior. Estas son dos buenas razones para fijar el nivel de alarma del punto medio como máximo en d = 2 %.
Este mismo porcentaje puede aplicarse a bancadas de baterías de 12 V con un punto medio de 6 V.
En el caso de una bancada de 48 V formada por baterías de 12 V conectadas en serie, el % de influencia de una batería sobre el punto medio se reduce a la mitad. Por lo tanto, el nivel de alarma del punto medio puede fijarse en un nivel más bajo.
9.4. Retardo de la alarma
Existe un retardo de la alarma para evitar alarmas por desviaciones breves que no podrían dañar la batería. La alarma se activa cuando la desviación excede el valor establecido durante más de 5 minutos. Si la desviación supera el valor establecido en un factor de dos o más, la alarma saltará transcurridos 10 segundos.
9.5. Qué hacer si salta una alarma durante la carga
En el caso de nuevas bancadas de baterías, la alarma suele deberse a diferencias en el estado de carga inicial de cada una de las baterías. Si la desviación supera el 3 % debe detener la carga de la bancada de baterías y cargar cada batería o cada celda por separado. Otra opción es reducir de forma significativa la corriente de carga que va hacia la bancada de baterías para que las baterías puedan ecualizarse con el tiempo.
Si el problema persiste después de varios ciclos de carga-descarga, haga lo siguiente:
En el caso de conexiones en serie/paralelo, desconecte el cableado de la conexión en paralelo del punto medio y mida las tensiones del punto medio individuales durante la carga de absorción para aislar las baterías o celdas que necesiten carga adicional.
Cargue y después compruebe todas las baterías o celdas de forma individual.
En el caso de bancadas de baterías más antiguas que han funcionado bien en el pasado, el problema puede deberse a una carga insuficiente sistemática. En este caso se necesitan cargas más frecuentes o una carga de ecualización. Tenga en cuenta que solo las baterías de placa plana, ciclo profundo, inundadas o OPzS pueden ecualizarse. Aplicar una mejor carga y con más regularidad solucionará el problema.
En caso de que haya una o varias celdas defectuosas:
En el caso de conexiones en serie/paralelo, desconecte el cableado de la conexión en paralelo del punto medio y mida las tensiones del punto medio individuales durante la carga de absorción para aislar las baterías o celdas que necesiten carga adicional.
Cargue y después compruebe todas las baterías o celdas de forma individual.
9.6. Qué hacer si salta una alarma durante la descarga
Las baterías y celdas que componen una bancada de baterías no son idénticas, por lo que al descargar la bancada completamente, la tensión de algunas celdas empezará a menguar antes que la de otras. Por lo tanto, la alarma del punto medio casi siempre se disparará al final de una descarga profunda.
Si la alarma del punto medio se disparase mucho antes (y no lo hiciera durante la carga), algunas baterías o celdas podrían haber perdido capacidad o desarrollado una resistencia interna mayor que otras. Pudiera ser que la bancada de baterías haya alcanzado el final de su vida útil, o que una o más celdas o baterías hayan desarrollado un fallo:
En el caso de conexiones en serie/paralelo, desconecte el cableado de la conexión en paralelo del punto medio y mida las tensiones del punto medio individuales durante la descarga, para aislar las baterías o celdas defectuosas.
Cargue y después compruebe todas las baterías o celdas de forma individual.
9.7. Battery Balancer (equilibrador de baterías)
Se puede considerar la adición de un equilibrador de baterías al sistema. Un equilibrador de baterías ecualiza el estado de carga de dos baterías de 12 V conectadas en serie o de varias cadenas paralelas de baterías conectadas en serie.
En el caso de que la tensión de carga de un sistema de baterías de 24 V aumente por encima de los 27,3 V, el Battery Balancer se activará y comparará la tensión de las dos baterías conectadas en serie. El Battery Balancer extraerá una corriente de hasta 0,7 A de la batería (o baterías conectadas en paralelo) que tenga la tensión más alta. El diferencial resultante de corriente de carga garantizará que todas las baterías converjan en el mismo estado de carga. Si fuese necesario, se pueden poner varios equilibradores en paralelo.
Una bancada de baterías de 48 V puede equilibrarse con tres Battery Balancer, uno entre cada batería.
Para más información, consulte la página de producto del Battery Balancer (equilibrador de baterías): https://www.victronenergy.es/batteries/battery-balancer
